Featured
- Get link
- X
- Other Apps
Capital Allocation Line Slope
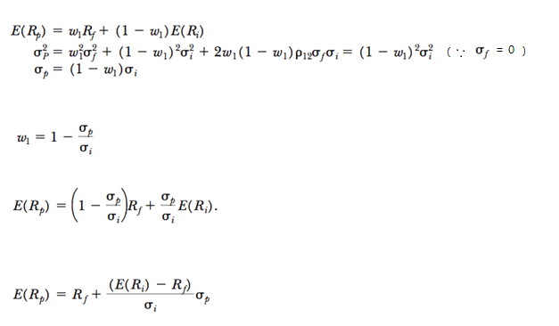
Capital Allocation Line Slope. The slope of the capital allocation line is equal to the incremental return of the portfolio to the incremental increase of risk. The capital allocation line is a straight line that has the following equation:

The slope of the capital allocation line is equal to the incremental return of the portfolio to the incremental increase of risk. The capital allocation line is a straight line and that it has the following equation: The slope of the capital allocation line = the incremental return of the portfolio to the incremental increase in risk.
= + In This Formula P Is The Risky Portfolio, F Is Riskless Portfolio, And C Is A Combination Of Portfolios P And F.
The slope of the capital allocation line equals. = + in this formula p is the risky portfolio, f is riskless portfolio, and c is a combination of portfolios p and f. Try the course for free.
The Capital Allocation Line Is.
Video created by 라이스 대학교 for the course portfolio selection and risk management. The cml is the cal in a world in which all investors agree on the expected returns, standard deviations, and correlations of all assets. The line e(rc) = rf + spσ(rc) is the capital allocation line (cal).
The Slope Of The Line, Sp, Is Called The Sharpe Ratio.
How to make optimal capital allocation and portfolio choice decisions when investors have. The graph displays the return to be made by taking on a certain level of risk. The capital allocation line (cal), capital market line (cml), and security market line (sml) can be confused easily, and for good reason:
Recall That The Slope Of A Line Is The Change In Yvalues Between Two Points Divided By The Change In Xvalues Between The Same Two Points:
The capital allocation line is a straight line that has the following equation: The capital market line (cml) appears in the capital asset pricing model to depict the rates of return for efficient portfolios subject to the risk level (. Summary the capital allocation line (cal), or the capital market link (cml), is a line that combines any possible combination of.
(I) Determine Standalone Capital Requirements For Individual Business Lines And Aggregate Them At.
For portfolio a, the two points are , and , (where ), so,. The slope of the cal equals the increase in the expected return of the complete portfolio per unit of additional standard deviation. The slope of the capital allocation line is equal to the incremental return of the portfolio to the incremental increase of risk.
Popular Posts
At The Output Level Defining Allocative Efficiency
- Get link
- X
- Other Apps
Activity-Based Costing Normally Allocates Overhead Costs
- Get link
- X
- Other Apps
Comments
Post a Comment